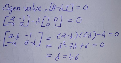
GATE 2005What are the eigenvalues of the following 2 × 2 matrix? SOL. Download as PDF Related posts: Normal Forms L-HOSPITAL RULE Static Single Assignment Birthday Attack